
Navštíveno 1395x

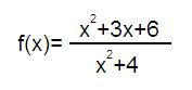
Potřeboval bych u tohoto příkladu určit konvexnost a konkávnot, tak kdyby tu byl nějaký vysokoškolák, co by si s tím věděl rady, tak bych mu byl moc vděčnej. :-)


31.12.2009, 10:48 |
hawai uplne na h**** ale na vejsce to po tebe chtej.....to mi pripomina ze pristi stredu z toho mam zkousku :-D taky bych se na to mel pomalu podivat

31.12.2009, 11:11 |
Tarrance | Upraveno: 2009-12-31 11:15:07
Z vlastní zkušenosti můžu říct, že je to úplně k prdu. Aspoň je co zapomínat. :-D Prostě jen bráchova přítelkyně potřebuje poradit a já nenašel svoje poznámky z vejšky.
edit.: Slouží to k prořídnutí řad studentstva. :-D
konvexnost a konkávnost určíš pomocí druhé derivace funkce. Funkce samo musí být spojitá

31.12.2009, 12:59 |
dolph ty vole... jakou řečí to mluvíte?? :)

31.12.2009, 13:09 |
hawai tak to počítám, ale nějak jsem se zaseknul u druhý derivace
Ty voe, tohle jsme brali v prváku, to moc těžký bejt nemůže... tvoje smůla je ovšem to, že v tom prváku jsem byl před 12 lety, tudíž si z toho pamatuju fakt kulový, sorry :-)
Abychom zjistili, zda je funkce spojitá, pokusíme se najít body nespojitosti. To se udělá tak, že se pokusíš najít x, se kterým nemá rovnice smysl, tzn x^2 + 4 = 0 (protože nulou nejde dělit, takže by rovnice neměla smysl) a protože takové x neexistuje, tak funkce je spojitá
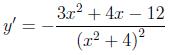
1. derivace:

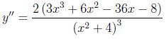
2. derivace:

:-D Já vím, že se to dělá pomocí druhý derivace, ale prostě nemám to podle čeho udělat, protože poznámky mám buhví kde a postupy taky neznám. Přece jen prvák vejšky je pět let zpět ... a taky bych byl moc vděčnej, kdyby to bylo i tak nějak s postupem. :-)

31.12.2009, 13:33 |
hawai tohle by ti nepomohlo?

Myslím, že by ti měly stačit tyhlety 2 odkazy, tam je postup:
Obecně jak se určujě konkávnost a konvexnost:
[ Link ] Konkrétní výpočty, jen je třeba z toho vysosat to potřebné:
[ Link ]
hawai: no vzorečky jsem vygooglil, ale prostě jsem v pasti :-/

31.12.2009, 13:37 |
Kacko To se bere na vysce? Ja z toho maturoval:)

31.12.2009, 13:39 |
hawai bere se to na gymplech a na vejsce....treba ja to na prumyslovce vubec nemel a ted jsem z toho taky v haji
kašli na vzorečky a mrkni na ty moje odkazy výše, hlavně na ten druhý

31.12.2009, 13:51 |
CVakk
hawai: že by vzorečky za 5Kč z ČZU? tam teď studuješ?

01.01.2010, 13:43 |
hawai Martin.dusa: jj, přesně tak :-) ty taky?
jj studuju.. jsem v prváku na PEFce obor Provoz a eko. Kde jsi ty? Někdy můžem zajít na pivko na Céčko :)

01.01.2010, 16:09 |
hawai ja jsem na technický fakultě a opakuju prvak...prave kvuli matice
Zdravim, ještě mám prosbu k tomuto příkladu... Potřeboval bych zjistit u něj integraci. Pomůže někdo?prosím...
Škoda :-P, ale stejně dík i za to předtím, hlavně Honzovi33, moc mi to pomohlo..
roztrhni to na tri zlomky (x^2+4)/(x^2+4) + 3x/(x^2+4) +2/(x^2+4)
prvni je hracka, druhej pres subtituci z=(x^2+4) a ten treti je po integraci 1/tan(x/2)
vysledek se da overit na
[ Link ]
rozlož to na parciální zlomky,to budeš mít nejlepší...

04.01.2010, 18:15 |
hawai tak taky bych potreboval mensi help...uplne mi vypadlo jak se derivuje e? e na x je porad e na x, ale co kdyz to je e na 2x, nebo e na 4x, e na -3x?